自动播放开关 自动播放 李克强鼓励西海固村民:搬出去后天地就宽了

2016年2月18日,宁夏银川,气温正在回暖。
闽宁镇的回族老汉马西亮满脸笑意,嘴都合不拢了,因为今天下午,李克强总理写来的回信,由宁夏回族自治区党委副书记崔波与自治区党委常委、银川市委书记徐广国送到了他手上。

喜笑颜开的马西亮。
“没想到,一点都没想到,总理居然给俺们移民回信!”马西亮依然不敢相信,他给总理的一封信,就这样得到了回复。
“一别四年,得知你和同村的乡亲们搬到了川区,住进了新房,吃上了自来水,收入也有了稳定保障,我由衷地为你们高兴。易地扶贫搬迁,就是要从源头斩断贫困之根,使乡亲们彻底告别因自然条件恶劣和偏远闭塞导致的贫困。新的水土滋养新的生活,整体搬迁既增添了新活力,又留存了老亲情。你和乡亲们生活的巨大变化,让仍处苦瘠山区的贫困群众看到了美好明天。党和政府将进一步加大扶贫工作力度,让更多的困难群众脱贫致富,过上幸福生活。你在信中说,只要人勤快,就能有钱挣,现在通过打工供养孩子们念书,这种做法我很赞成。希望你和乡亲们在新环境中日子越过越红火。”在回信里,总理还请马西亮代问乡亲们好。

马西亮分享总理的回信。
2012年1月16日,李克强在宁夏考察期间,曾在固原市原州区开城镇上青石村看望群众。在村民马西亮家中,李克强仔细察看了旧窑洞受损情况,并与大家围坐交谈。
2016年2月1日至2日,李克强总理再次来宁调研,他一直惦记着上青石村乡亲搬迁安置闽宁镇后的生活情况,虽未成行,但总理反复叮嘱宁夏的领导同志“一定要去老马家看看”。这个老马,就是从上青石村搬迁到闽宁镇的马西亮。

马西亮高兴地说,这张照片就是在他老家的院子里拍摄的。
2月4日,受总理委托,自治区党委书记、人大常委会主任李建华和自治区主席刘慧专程赶往闽宁镇原隆村,看望慰问移民群众,并到马西亮家中,传递党中央、国务院的深切关怀。


这是2012年1月16日,李克强在固原市原州区开城镇与村民交谈。马西亮将这些照片装裱在相框中珍藏着。
“我给总理写了封信,想跟总理说一说心里话,现在我们的生活改善了,比老家好多了,日子越过越有希望,我相信只要靠勤劳双手,一定能致富。”马西亮说,自从搬迁到闽宁镇,家里的日子有了翻天覆地的变化,他还特意为总理做了内含20多张照片的影集,照片中,自家搬迁前后的对比非常明显。

老马孩子的手机中还保存着当年总理在固原到村里时的照片。
马西亮也只想试试,看能不能通过书记和主席将这封信转交给李克强总理,没料到,还真成了!更令他激动的是:总理居然回信了!2月18日,这个朴实的回族老汉紧张又兴奋地向记者展示他与总理的信件。
李克强总理给马西亮的回信

马西亮同志:
来信收到了。一别四年,得知你和同村的乡亲们搬到了川区,住进了新房,吃上了自来水,收入也有了稳定保障,我由衷地为你们高兴。
易地扶贫搬迁,就是要从源头斩断贫困之根,使乡亲们彻底告别因自然条件恶劣和偏远闭塞导致的贫困。新的水土滋养新的生活,整体搬迁既增添了新活力,又留存了老亲情。你和乡亲们生活的巨大变化,让仍处苦瘠山区的贫困群众看到了美好明天。党和政府将进一步加大扶贫工作力度,让更多的困难群众脱贫致富,过上幸福生活。
你在信中说,只要人勤快,就能有钱挣,现在通过打工供养孩子们念书,这种做法我很赞成。希望你和乡亲们在新环境中日子越过越红火。
代问乡亲们好!
李克强
2016年2月16日
马西亮给李克强总理的信
敬爱的克强总理:
您好!
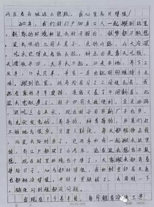
我叫马西亮,现住宁夏永宁县闽宁镇原隆村。2012年1月16号,也是个小年,您当时到我们原来居住的,固原市原州区开城镇上青石村视察,去过我家,还和我照了相,同村人都羡慕我有福气。您离开后不久,我就从老家搬到现在这儿了,这几年日子有了很大变化,就想着给您写封信,汇报一下我和乡亲们这几年的新生活。
前些日子,听说您要来宁夏,还要来我们新家做客,全家都激动高兴得不得了,一直做梦都盼望着总理能来看看我们的新家,我专门把女儿从固原老家叫来帮着收拾家里,我老婆每天把房子打扫好几遍。我一想这次还能见见总理,和您握握手,估摸着那时候会高兴地流眼泪呢。我知道您工作忙得很,虽然这次没有到我家,但从我儿子的手机上,看到您来宁夏的相片,知道您一直挂念着宁夏人民,对咱们山区老百姓这么照顾,我心里高兴得很。
2012年,我们村67户300多口人一起搬到这里,新家的环境和过去村子相比,做梦都不敢想。过去住的几间土房子,走的山路,山大沟深,吃水还得走老远去拉,种点田是靠天吃饭,天涝收不回,天旱长不起,20来亩地,养下2头牛、10来只羊,辛苦一年也就刚刚维持个生活。搬到这里,政府给我分了2间砖瓦房,我把老家的牛羊卖掉,凑钱又盖了4间新屋,比过去宽敞多了,村子四周交通便利,全是油路,还吃上自来水,现在村子周围新厂子也多,有光伏发电的、养牛的、种草莓的,乡亲们打工的地方很多,只要人勤快,每天都能挣点钱,比过去好的多了,这两年和我一起搬来这里的,有几户都买了小汽车,这在过去想也不敢想,现在村里环境也干净了,大家搬来都奔着挣好日子,心气都好得很,我和村里邻居关系也都融洽得很,平时手里缺钱了,去周转一下,随便问到谁都没问题。
我现在1个养牛场,每月都有2700块工资,政府给我家2头牛,我都托管了,每年能分红4000块,给分的3亩地,流转出去每年能收入1500块。老婆虽然身体不太好,(但)也很争气,在附近葡萄园打零工,一年干上七八个月,每月也能有1000多的收入,我家现在一年收入比过去翻了三番,生活好多了。
最让我高兴的是几(个)娃娃。大儿子在石嘴山上中专,今年快毕业了,最近在实习,已经能挣点钱养活自己了。二儿子在永宁县念高中,国家每天给补6块钱,也很好。小儿子在宁夏地质工程学校上学,读的太阳能光伏发电专业,刚上了一学期,学习不错还得了助学金,现在供三个娃娃念书是家里最辛苦的时候,但我和老婆再苦也要让娃娃坚持学习,让下一代生活好一点。我相信等娃娃毕业了,日子会慢慢变好的。
总理,我在新闻上看您这次来比上次见面时瘦了,您为了老百姓过好日子,操的心太多了,您一定要保重身体。我祝您工作顺利、身体健康,过个幸福的好年!
村上通知,明天自治区李书记、刘主席要来慰问我。这次没见上您,我想托他们把反映我家生活变化的相片连同这封信带给您。我也盼着您有机会能再到我们村,看看大家的好日子!
祝总理新年快乐、身体健康,祝我们伟大的祖国蒸蒸日上、繁荣富强!
马西亮
2016年2月3日
手写版





(银川发布)
正文已结束,您可以按alt+4进行评论


已有0人发表了评论